您现在的位置:首页>升本指南>成绩查询

成绩查询

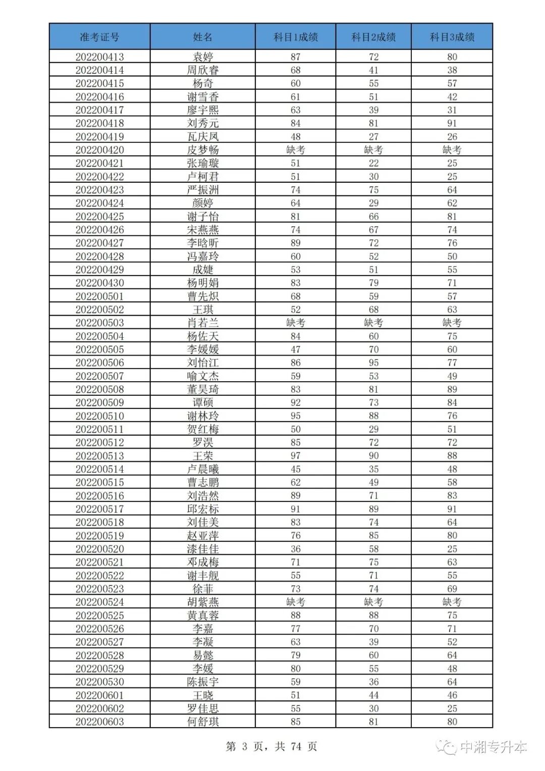
【成绩公布】湘南学院2022年“专升本”选拔考试成绩公示

来源:本站    浏览次数: 1269次    发布时间:2022-05-19

 根据湖南省教育厅《2022年湖南省普通高等教育“专升本”考试招生工作实施方案》(湘教发〔2022〕3号)和《湘南学院2022年“专升本”工作实施方案》文件精神,湘南学院2022年“专升本”选拔考试(笔试)已经结束,现将考试成绩进行公示(附件),公示时间:2022年5月17日至5月19日中午12点,考生如对成绩有疑问,可以向我校申请查询成绩。成绩查询流程如下:
1、考生于2022年5月17日至5月19日中午12点前。填写《湘南学院2022年“专升本”考试成绩查分申请表》,申请表发送到电子邮箱:309876846@qq.com。文件命名要求:姓名+身份证号码+准考证号+考试课程名称。
2、5月19日下午我校将组织相关部门人员对申请查卷考生的试卷分数进行复核,复核结果将在3日内告知学生。请保持电话信息通畅。

咨询电话:0735-2653201


湘南学院教务处

2022年5月17日



本次排名以本科院校公布的考试总成绩为参考整理的拟录取名单

(最终录取以学校通知为准)



希望大家看完湘湘子更新的文章,可以多点“在看”,喜欢的话也点个分享和赞,这样我们的推送才能继续出现在你的订阅列表里,才能把最新、最全的专升本招考资讯及时分享到大家手里哦~


1

END

1


戳下方二维码了解更多专升本内容

专升本集训通道持续开放中


专升本相关问题请关注“中湘专升本”

任何关于专升本的问题都可以私信哦

你的好友湘湘子在线为大家解答~



Tag标签:

免责声明:本站所提供试题均来源于网友提供或网络搜集,由本站编辑整理,仅供个人研究、交流学习使用,不涉及商业盈利目的。如涉及版权问题,请联系本站管理员予以更改或删除。

考试

提醒

2024年4月20日

专科院校:
专科专业:
入学年份:
手机号码:

扫一扫加老师微信咨询

与资深升本老师沟通,一对一随时为您解答疑惑。

报考

时间

2024年
2月13日
至2月17日

报考条件:
高职(专科)应届毕业生和具有湖南学籍的退伍军人
报考网址:
湖南省普通高等教育
专升本信息管理平台
报考条件: