来源:本站 浏览次数: 375次 发布时间:2022-05-17
各位考生:
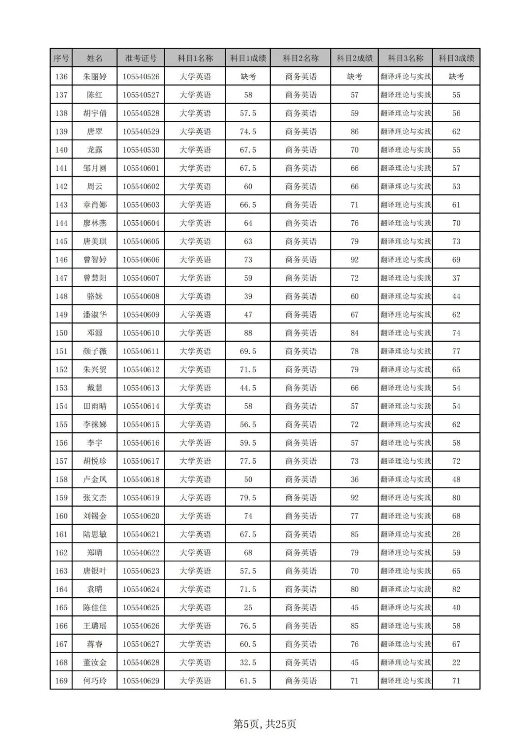
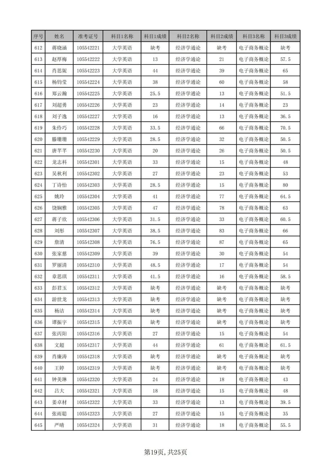
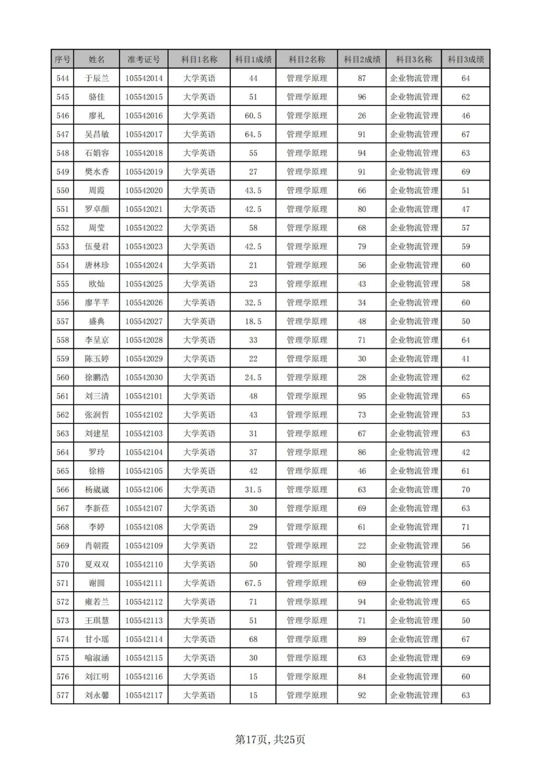
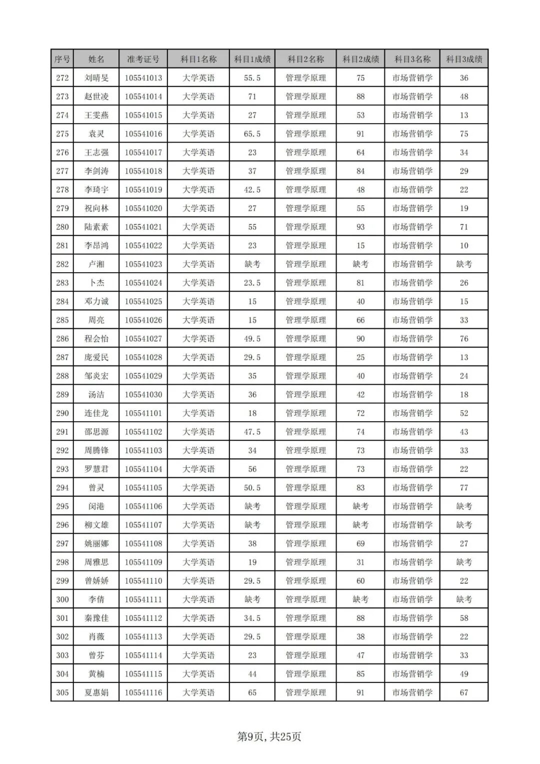
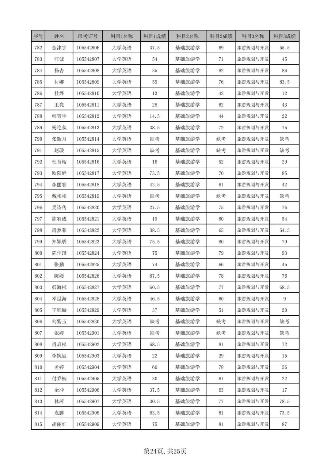
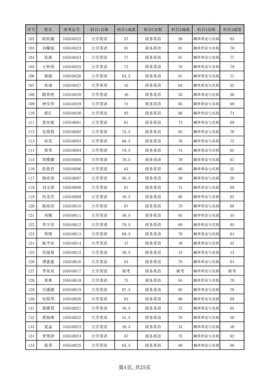
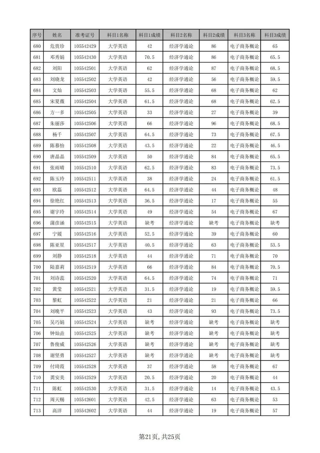
2022年湖南工商大学“专升本”选拔考试(笔试)已经结束,现将考试成绩公示(附件)。公示期为2022年5月15日至5月17日。在公示期内,考生如对成绩有疑问,可以向我校教务处申请查分。我校将按照教育部、国家保密局印发的《教育工作中国家秘密及其密级具体范围的规定》以及湖南省教育厅发布的《关于做好我省2022年普通高等学校专升本考试招生工作的通知》等相关文件要求和规定,组织相关部门和人员对申请查卷考生的试卷卷面总分进行复核,复核结果将在3日内告知学生。
湖南工商大学教务处咨询电话:0731-88689005 王老师
附件:2022年湖南工商大学“专升本”选拔考试成绩.pdf
湖南工商大学
2022年5月15日
1
END
1
戳下方二维码了解更多专升本内容
专升本集训通道持续开放中
专升本相关问题请关注“中湘专升本”
任何关于专升本的问题都可以私信哦
你的好友湘湘子在线为大家解答~
Tag标签:
免责声明:本站所提供试题均来源于网友提供或网络搜集,由本站编辑整理,仅供个人研究、交流学习使用,不涉及商业盈利目的。如涉及版权问题,请联系本站管理员予以更改或删除。
考试
提醒
2024年4月20日
报考
时间
2024年
2月13日
至2月17日
雄厚师资
升本院校雄厚师资团队
确保教学质量
合理收费
一次性收费
中途不再收取任何费用
课程
以升本院校为依托
研发专升本课程
轻松升本
对口升学
直指命题要点帮助考生轻松升本
十佳口碑
多年辅导经验
高通过率铸就十佳好口碑
官方微信公众号
湖南专升本QQ群
微信客服
中湘官方抖音
望城校区:长沙市望城北校区(湖南外国语职业学院旁)
星沙校区:湖南省长沙市万家丽北路红树湾18栋6楼615(麦吉酒店楼上)
电科校区:湖南省长沙市望城区湖南电子科技职业学院北校区1栋-217办公室
城南校区:长沙市雨花区井湾路748号沪上阿姨二楼
雷锋镇校区:长沙雷锋镇卓乐潇湘美育大楼(长沙职院旁)
常德校区:湖南省常德市武陵区常德学院前面城投智体中心7栋202
株洲校区:智谷广场创业大厦1栋405(铁科旁)
湘潭校区:湖南省湘潭市岳塘区湘潭大道281号万达广场写字楼A座22楼
岳阳校区:湖南省岳阳市南湖新区郭镇君怡大酒店停车场往下100米九一超市楼三楼
湘西校区:湖南省吉首市湘西职业技术学院旁(小冲街道124号一楼、二楼)