来源:本站 浏览次数: 426次 发布时间:2022-05-17
点击蓝字 关注我们
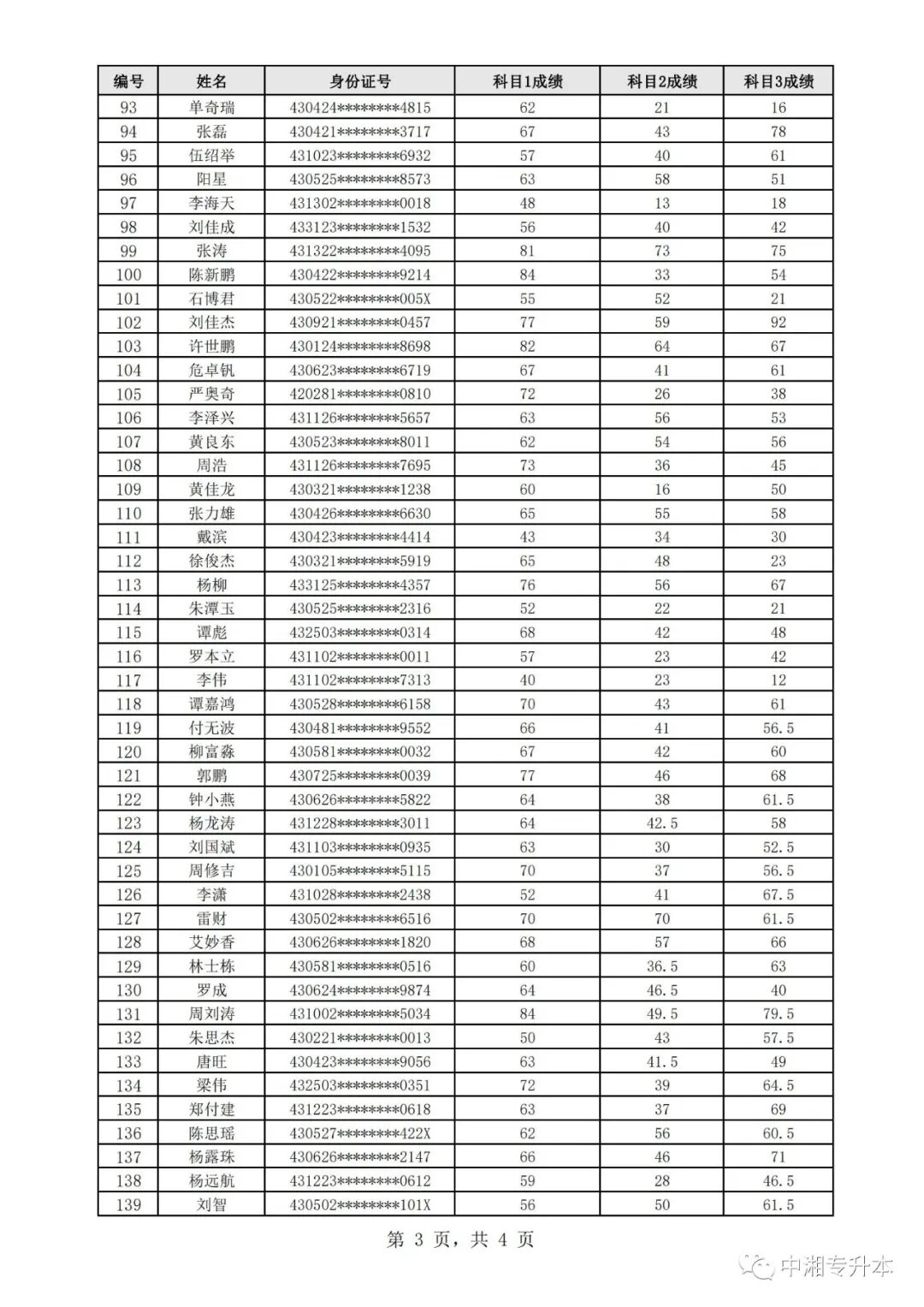
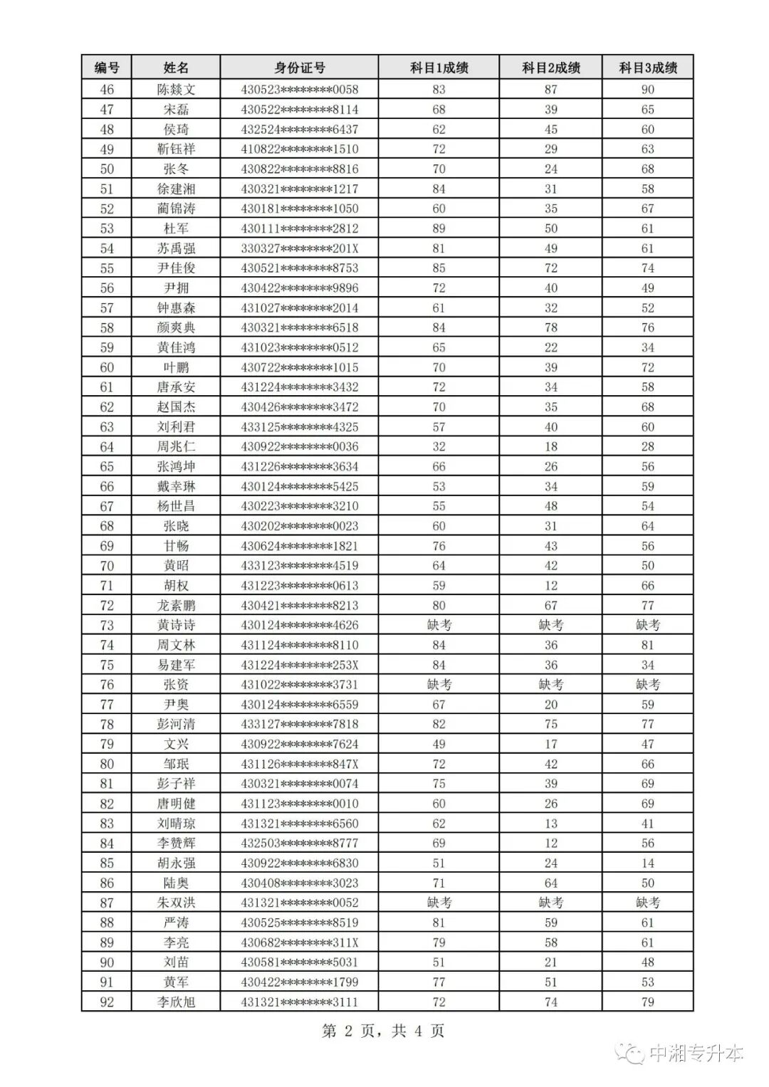
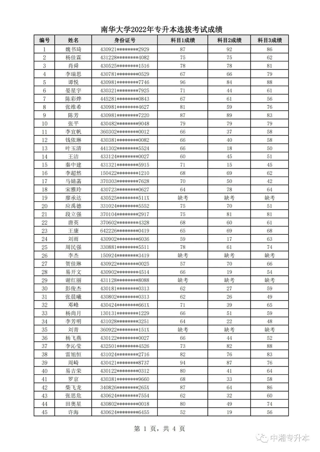
根据湖南省教育厅《2022 年湖南省普通高等学校专升 本考试招生工作实施方案》(湘教发〔2022〕3 号)等文件 精神,现将我校 2022 年“专升本”选拔考试成绩进行公示 (见附件 1),公示期 5 月 17 日至 5 月 19 日。在公示期内,考生如对成绩有疑问,请按照《南华大学 “专升本”选拔考试成绩复核办法》(见附件 2)向我校教 务部申请查分。
1
END
1
戳下方二维码了解更多专升本内容
专升本集训通道持续开放中
专升本相关问题请关注“中湘专升本”
任何关于专升本的问题都可以私信哦
你的好友湘湘子在线为大家解答~
Tag标签:
免责声明:本站所提供试题均来源于网友提供或网络搜集,由本站编辑整理,仅供个人研究、交流学习使用,不涉及商业盈利目的。如涉及版权问题,请联系本站管理员予以更改或删除。
考试
提醒
2024年4月20日
报考
时间
2024年
2月13日
至2月17日
雄厚师资
升本院校雄厚师资团队
确保教学质量
合理收费
一次性收费
中途不再收取任何费用
课程
以升本院校为依托
研发专升本课程
轻松升本
对口升学
直指命题要点帮助考生轻松升本
十佳口碑
多年辅导经验
高通过率铸就十佳好口碑
官方微信公众号
湖南专升本QQ群
微信客服
中湘官方抖音
望城校区:长沙市望城北校区(湖南外国语职业学院旁)
星沙校区:湖南省长沙市万家丽北路红树湾18栋6楼615(麦吉酒店楼上)
电科校区:湖南省长沙市望城区湖南电子科技职业学院北校区1栋-217办公室
城南校区:长沙市雨花区井湾路748号沪上阿姨二楼
雷锋镇校区:长沙雷锋镇卓乐潇湘美育大楼(长沙职院旁)
常德校区:湖南省常德市武陵区常德学院前面城投智体中心7栋202
株洲校区:智谷广场创业大厦1栋405(铁科旁)
湘潭校区:湖南省湘潭市岳塘区湘潭大道281号万达广场写字楼A座22楼
岳阳校区:湖南省岳阳市南湖新区郭镇君怡大酒店停车场往下100米九一超市楼三楼
湘西校区:湖南省吉首市湘西职业技术学院旁(小冲街道124号一楼、二楼)